TWS (échangeurs air/eau)

Échangeurs air/eau à installation latérale

Les points forts :

  • Simplicité d'installation (montage latéral)
  • Gabarit extra plat
  • Maintenance quasi inexistante
  • Idéal pour milieux pollués ou températures extrêmes
Demander un devis Plans de découpe échangeurs air/eau TWS

En standard

  • Thermostat mécanique ajustable (préréglé à +35°C)
  • Échangeur tubes cuivre ailettes aluminium
  • Ventilateur centrifuge
  • Électrovanne assurant la régulation de température (tout ou rien)
  • Câble d’alimentation 3 mètres
  • Joint d’étanchéité IP55
  • Carrosserie électrozinguée
  • Peinture RAL 7035
  • Documentation complète
  • Garantie 18 mois (sauf accord spécial)

Options et variantes

  • Tensions et fréquences différentes du standard
  • Homologation UL
  • Peinture RAL différente du standard
  • Capotage inox

▶ A NOUS PRÉCISER LORS DE VOTRE DEMANDE

Caractéristiques techniques


TWS 10 CAI TWS 18 CAI TWS 25 CAI TWS 35 CAI TWS 45 CAI TWS 60 CAI
Alimentation électrique
Type Monophasé Monophasé Monophasé Monophasé Monophasé Monophasé
V-Hz 230-1-50/60 230-1-50/60 230-1-50/60 230-1-50/60 230-1-50/60 230-1-50/60
Puissance frigorifique W10A35
(+10°C source eau, +35°C ambiant)
W 1000 1750 2500 3500 4500 6000
Puissance absorbée W10A35
(+10°C source eau, +35°C ambiant)
W 29 75 80 130 160 160
Intensité électrique
nominale
A 0.17 0.36 0.33 0.55 0.71 0.71
Protection de ligne A 2 2 2 2 2 2
Raccordement électrique mm² nc nc nc nc nc nc
Indice d’étanchéité IP 55 55 55 55 55 55
Débit d’air nominal m3/h 330 570 860 1050 1450 1450
Débit d’eau nominal l/h 150 150 500 500 500 800
Pression d’eau maxi  bar 10 10 10 10 10 10
Raccordement hydraulique Type  1/2″ G 1/2″ G 1/2″ G 1/2″ G 1/2″ G 1/2″ G
Température de fonctionnement
ambiant mini / maxi
°C +1 / +70 +1 / +70 +1 / +70 +1 / +70 +1 / +70 +1 / +70
Température de régulation
plage mini / maxi
°C +20 / +46 +20 / +46 +20 / +46 +20 / +46 +20 / +46 +20 / +46
Niveau sonore dB(A) 55 58 58 64 69 69
Dimensions

H (mm) 453 901 901 1148 1148 1502
L (mm) 311 398 398 398 398 450
P (mm) 115 137 137 163 163 163
Poids kg 12 18 19 29 30 40
Valeurs non contractuelles / Plus d’informations concernant les dispositifs de climatisation et de refroidissement sur AFCE.

 


Dimensions

Dimensions des échangeurs air/eau TWS à montage latéral Eurodifroid

(légende)

  • H : hauteur (voir tableau de caractéristiques)
  • L : largeur(voir tableau de caractéristiques)
  • P : profondeur (voir tableau de caractéristiques)
  • D = 120 mm
  • E = 43 mm (TWS 18 et 25) / 42 mm (TWS 35 et 45) / 39 mm (TWS 60)
  • F = 30 mm (TWS 18 et 25) / 25 mm (TWS 35, 45 et 60)

 

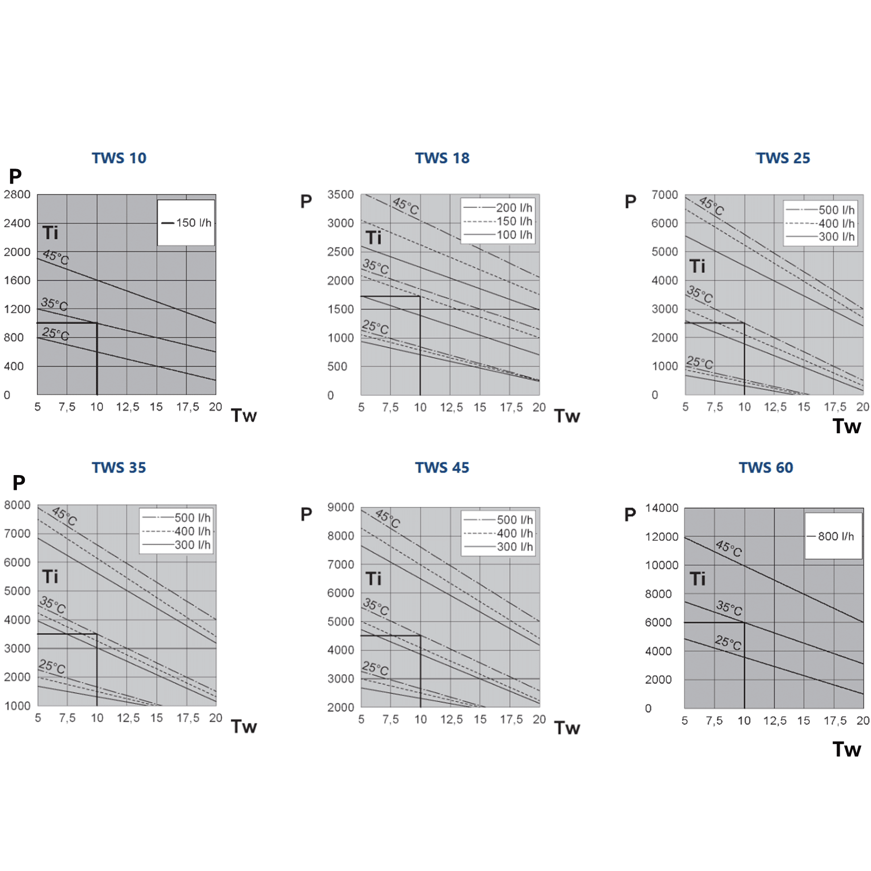
Aller plus loin : courbes de performances des échangeurs air/eau TWS


Les diagrammes ci-joints vous permettent de comparer les performances de nos échangeurs air/eau TWS, pour vous aider à sélectionner le modèle qui convient le mieux à votre installation.

  • P = Puissance frigorifique de l’appareil (en W)
  • Tw = Température d’entrée d’eau (en °C)
  • Ti = Température interne de l’armoire (en °C)

> Vous avez encore un doute ou une question complémentaire sur ces échangeurs air/eau ? Contactez-nous !

Découvrir des produits de climatisation similaires


Échangeurs air-eau pour racks-baies
Échangeurs air/eau rack/baie (Climatisation)
ECPO (échangeurs air/eau)
Lire la suite
Échangeurs air-eau sur mesure KWS
Échangeurs air/eau latéraux (Climatisation)
KWS (échangeurs air/eau)
Lire la suite
Échangeurs de toit air/eau RFO Eurodifroid
Échangeurs air/eau de toit (Climatisation)
RFO (échangeurs air/eau)
Lire la suite
Échangeurs air/eau TWS pour climatisation armoire ou local technique
Échangeurs air/eau latéraux (Climatisation)
TWS (échangeurs air/eau)
Lire la suite
Échangeurs air/eau TWS pour climatisation armoire ou local technique
Échangeurs air/eau de toit (Climatisation)
TFO (échangeurs air/eau)
Lire la suite